별내역 지웰 에스테이트 오피스텔 청약 전매
- 카테고리 없음
- 2021. 11. 18.
별내역 지웰 에스테이트 오피스텔 청약 전매 프리미엄
아파트 가격상승과 각종규제로인하여 2021년은 오피스텔이 크게 주목받고 있습니다. 별내역 지웰 에스테이트는 구리 별내역에 걸어서 3분거리의 초역세권 오피스텔로 전국 누구나 청약에서 당첨된다면 계약 후 바로 전매가 가능한 투자가치가 상당히 높은 기대되는 오피스텔입니다. 84제곱미터라는 아파트형태의 구조와 크기로 만들어지는 별내역 지웰 에스테이트는 아파트 기준 25평형정도의 크기로 상당한 인기를 누릴것으로 예상되고 있습니다. 그럼 아래서 상세정보와 청약방법 그리고 프리미엄 예상까지 해보도록 하겠습니다.

2021년 11월 초에는 신길AK푸르지오 그리고 힐스테이트 과천청사역 두 오피스텔이 상당한 이슈를 불러왔습니다. 1500대 1에 육박하는 경쟁률을 자랑했던 두 오피스텔은 청약 후 상당한 프리미엄이 붙어서 거래가 됐습니다. 경제뉴스등 전해지는 말에 따르면 신길AK푸르지오는 5천만원정도, 과천청사역 힐스테이트는 1억이상까지도 프리미엄이 붙어서 계약 후 바로 상당량이 거래가 됐다고 합니다. 그만큼 요즘 입지가 좋은 아파트형 오피스텔의 인기는 하늘을 찌르고 있습니다.
별내역 지웰 에스테이트 오피스텔 상세정보

오피스텔 청약에는 아파트처럼 청약통장이 필요없습니다. 또한 100세대 이하 오피스텔은 전매제한 없이 계약 후 거래가 가능한데요, 별내역 지웰 에스테이트는 총 165실인데도 전매가 가능합니다. 이유는 두블럭으로 나눠서 분양을 하기 때문입니다.

구리시 갈매택지지구 2BL에 총 66실 그리고 구리시 갈매택지지구 3BL에 총99실로 각각 100실 이하로 공급되기 때문에 계약 후 전매가 가능한 투자가치가 무척 높은 상품입니다. 각각 지하2층과 지상10층까지로 이뤄져있습니다. 아마 2~3층까지는 상업시설이 들어오고 그 위부터 오피스텔로 만들어질 것으로 예측됩니다.

또한 별내역 지웰 에스테이트 오피스텔은 청약 후 당첨된 다음에 취소해도 아무런 후속 제약이 없습니다. 추후 아파트를 분양받는데 재당첨 제한이 따른다거나 하는 것이 없습니다. 물론 당첨된 후 계약을 해도 아파트 분양권과 청약통장과는 무관합니다. 또한 등기전까지는 주택수에 포함되지 않습니다.
* 청약통장 필요없음
* 만19세 이상 전국 누구나 청약가능
* 재당첨 제한 없음
* 전매 가능
별내역 지웰 에스테이트 청약 방법

별내역 지웰 에스테이트 오피스텔의 청약은 현장방문으로만 이뤄진다고 합니다.
전화번호 : 1522-9993
모델하우스 : 경기도 구리시 인창동 613-2
2021년 11월19일 금요일~ 11월22일 월요일 :: 오전 10시 부터 오후 5시
2021년 11월23일 화요일 :: 오전10시부터 오후 3시까지
청약금 :: 없음
위기간동안 별내역 지웰 에스테이트 모델하우스에 방문하여 청약 접수만 가능한데요. 대리 접수는 불가능하며, 직계가족의 경우는 대리 접수가 가능하다고 합니다. 신분증과 대리접수의 경우 주민등록등본 , 가족관계증명서가 필요하다고 알려져있습니다. 방문전에 1522-9993에 한번더 전화해서 확인 바랍니다.

모델하우스는 인창초등학교 근처에 위치해 있습니다. 주차공간이 협소하다고 알려져있으니 여유롭게 도착하는걸 추천드립니다.
별내역 지웰 에스테이트 전매 프리미엄 예상


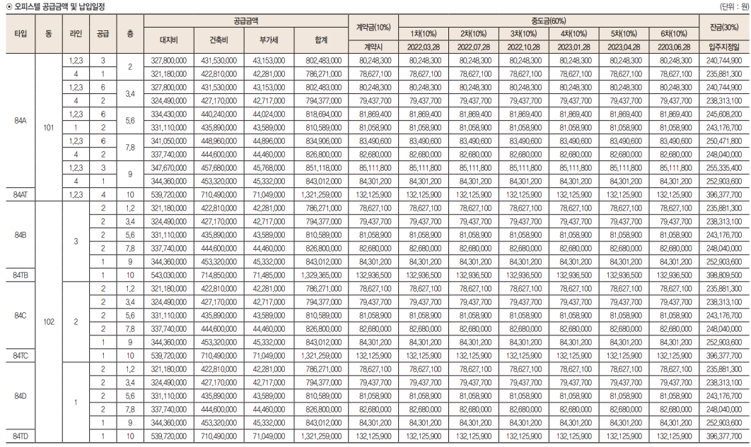
위 사진은 별내역 지웰 에스테이트의 공개된 분양가입니다. 8억정도이고 , 10층은 복층구조로 13억이 넘네요

네이버 부동산으로 주변 시세를 확인한 화면입니다. 분양가는 7~8억으로 예상되고 있습니다. 8호선 연장개통과 GTX-B 개통까지 별내역은 호재로 가득한 곳인데요 그곳과 걸어서 3분거리라는 초역세권의 입지를 자랑하는 오피스텔입니다.

아파트형으로 지어진 25평정도의 크기의 별내역 지웰 에스테이트 오피스텔의 84구조는 아파텔이라 불리며 2021년 대한민국 부동산 시장의 마지막 불꽃을 태우고있는 인기 구조입니다. 최상층은 복층구조로 나올 것이라는 예상도 나오고 있습니다. 가장 선호되는 높으층의 경우에는 주변지역의 아파트 시세에 대비하여 볼때 계약 후 바로 대략 5천만원정도의 프리미엄이 붙을것으로 예상된다는 의견들도 들리고 있습니다.


별내역 오피스텔 공식 사이트에서 자랑하는 다섯가지의 프리미엄입니다. 역세권에 잘빠진 공간 그리고 전매가 바로 가능한 투자가치까지 요즘 사람들이 오피스텔에 열광하는 이유를 모두 담고있는 놓쳐서는 안될 오피스텔 청약입니다. 공식사이트 정보도 확인하고 현장에 방문 가능한 분들은 청약에 도전하길 바랍니다.
추가 : 별내역 지웰 에스테이트 상가 정보


별내역 지웰 에스테이트 오피스텔 분양과 함께 그 기반을 다질 상가정보입니다. 별내역으로 이어진 구리갈매지구 상권의 맨 앞에 위치할 곳으로 유동인구가 많을 것으로 예측됩니다. 별내역과 3분거리다보니 개발호재도 이어지고 있습니다.
당첨자 발표 및 계약일

2021년 11월 24일 수요일 오피스텔 청약 추첨
2021년 11월 25일 목요일 계약서 발행 (계약금은 분양가의 10%)
( 계약금은 24일 부터 입금가능하며 25일까지 미입금한 경우 자동으로 취소된다고 합니다. 1522-9993으로 다시한번 꼭 확인하길 바랍니다. )
계약 후 바로 전매가 가능한 초역세권의 아파트형 오피스텔 별내역 지웰 에스테이트 청약 정보에 대해서 상세하게 지금까지 알려진 정보를 종합해서 소개했습니다. 11월3일과 4일 뜨거운 청약현장이였던 신길AK푸르지오, 힐스테이트과천청사역 오피스텔에 이어 많은 사람들이 청약에 도전할 투자가치 높은 오피스텔입니다. 청약금도 없는 것으로 알려져있으니 11월19일에서 23일 사이에 경기도 구리시에 방문가능한 분들은 필히 청약에 도전하길 바랍니다.